Yulinadwimuryanii Y
03 September 2023 13:32
Iklan
Yulinadwimuryanii Y
03 September 2023 13:32
Pertanyaan
tentukan akar akar persamaan kuadrat berikut dengan cara memfaktorkan!
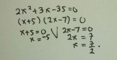
2x² + 3x - 35 = 0
2
2
Iklan
Nanda R

Community
03 September 2023 14:00
akar persamaannya adalah -5 dan 7/2

· 5.0 (1)
Yulinadwimuryanii Y
03 September 2023 14:02
terimakasiii banyaakkk
Iklan
Sumber W

Community
03 September 2023 15:18
2x² + 3x - 35 = 0
2x² + 10x - 7x - 35 = 0
2x(x + 5) - 7(x + 5) = 0
(2x - 7)(x + 5) = 0
x1 = 7/2 atau x2 = -5
Jadi himpunan penyelesaian adalah {-5, 7/2}
· 5.0 (1)
Yulinadwimuryanii Y
03 September 2023 15:20
makasiiiii
Tanya ke AiRIS
Yuk, cobain chat dan belajar bareng AiRIS, teman pintarmu!

LATIHAN SOAL GRATIS!
Drill Soal
Latihan soal sesuai topik yang kamu mau untuk persiapan ujian


Perdalam pemahamanmu bersama Master Teacher
di sesi Live Teaching, GRATIS!