Yuni N
17 September 2023 12:28
Iklan
Yuni N
17 September 2023 12:28
Pertanyaan
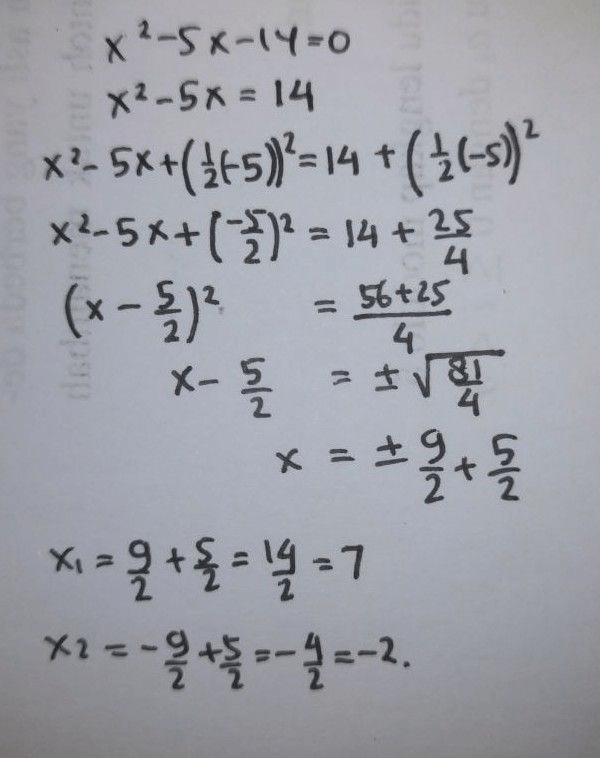
tentukan akar akar dari x²-5x-14=0 dengan cara melengkapkan bentuk kuadrat sempurna
2
2
Iklan
Nanda R

Community
17 September 2023 12:50
akar-akarnya adalah -2 dan 7.

· 0.0 (0)
Iklan
Vincent M

Community
17 September 2023 12:59
x² - 5x - 14 = 0
(x - 7)(x + 2) = 0
x = -2, 7
· 0.0 (0)
Tanya ke AiRIS
Yuk, cobain chat dan belajar bareng AiRIS, teman pintarmu!

LATIHAN SOAL GRATIS!
Drill Soal
Latihan soal sesuai topik yang kamu mau untuk persiapan ujian


Perdalam pemahamanmu bersama Master Teacher
di sesi Live Teaching, GRATIS!