Cleopatra M
26 Januari 2022 00:14
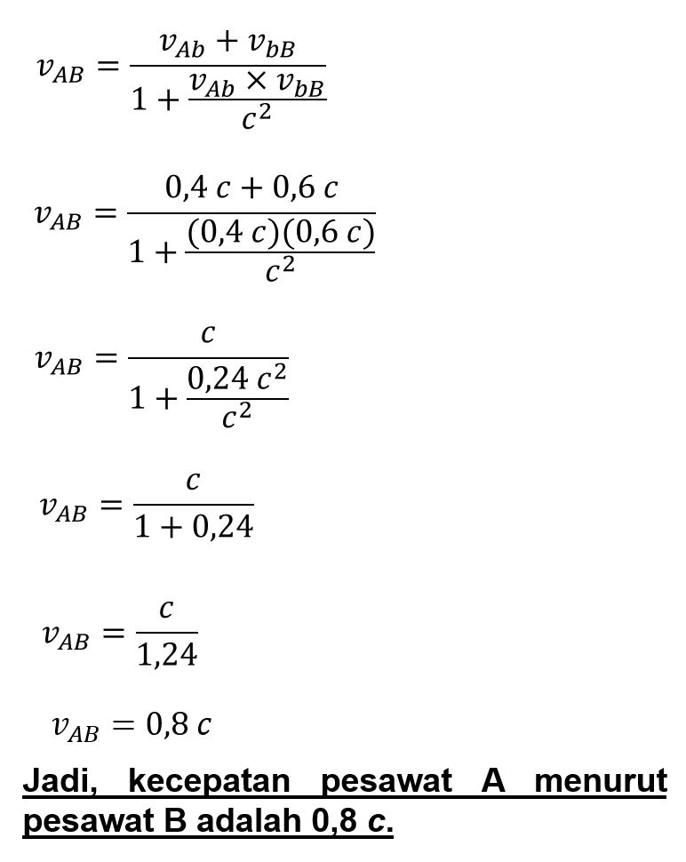
Iklan
Cleopatra M
26 Januari 2022 00:14
Pertanyaan
2
1
Iklan
E. Fitria
Mahasiswa/Alumni Universitas Islam Negeri Sunan Gunung Djati Bandung
26 Januari 2022 04:46
· 0.0 (0)
Iklan
Tanya ke AiRIS
Yuk, cobain chat dan belajar bareng AiRIS, teman pintarmu!

LATIHAN SOAL GRATIS!
Drill Soal
Latihan soal sesuai topik yang kamu mau untuk persiapan ujian


Perdalam pemahamanmu bersama Master Teacher
di sesi Live Teaching, GRATIS!