Fania K
13 Januari 2022 09:14
Iklan
Fania K
13 Januari 2022 09:14
Pertanyaan
3
1
Iklan
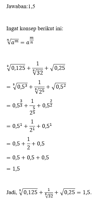
Y. Endriska
Mahasiswa/Alumni Universitas Jember
25 Januari 2022 11:39
· 0.0 (0)
Iklan
Tanya ke AiRIS
Yuk, cobain chat dan belajar bareng AiRIS, teman pintarmu!

LATIHAN SOAL GRATIS!
Drill Soal
Latihan soal sesuai topik yang kamu mau untuk persiapan ujian


Perdalam pemahamanmu bersama Master Teacher
di sesi Live Teaching, GRATIS!