Putri M
20 Juli 2022 01:37
Iklan
Putri M
20 Juli 2022 01:37
Pertanyaan
1
1
Iklan
P. Mega
07 November 2022 11:26
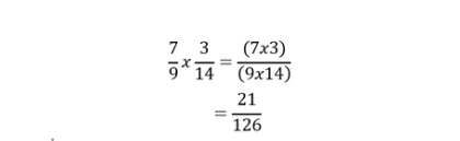
Jawaban dari pertanyaan di atas adalah 1/6 (Perhatikan gambar)
Pembahasan :
Pada pecahan terdapat bentuk a/b, dengan a disebut pembilang dan b disebut penyebut.
Untuk mengalikan pecahan, maka kita mengalikan pembilang dengan pembilang dan penyebut dengan penyebut (Perhatikan gambar)
Kemudian dapat disederhanakan dengan cara membagi pembilang dan penyebut dengan angka yang sama, sebagai berikut,
21/126
= (21 : 7)/(126 : 7)
= 3/18
= (3 : 3)/(18 : 3)
= 1/6
Dengan demikian, hasil dari 7/9 x 3/14 adalah 1/6 (Perhatikan gambar)

· 0.0 (0)
Iklan
Tanya ke AiRIS
Yuk, cobain chat dan belajar bareng AiRIS, teman pintarmu!
Roboguru Plus
Dapatkan pembahasan soal ga pake lama, langsung dari Tutor!


Perdalam pemahamanmu bersama Master Teacher
di sesi Live Teaching, GRATIS!