Santidewi A
21 Oktober 2021 09:27
Iklan
Santidewi A
21 Oktober 2021 09:27
Pertanyaan
1
3
Iklan
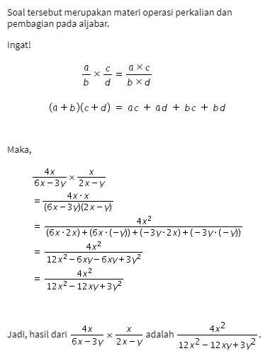
G. Albiah
Mahasiswa/Alumni Universitas Galuh Ciamis
31 Oktober 2021 19:18

· 4.0 (4)
Iklan
MAULIDYA Z
21 Oktober 2021 09:58
· 0.0 (0)
Gabriel M
22 Oktober 2021 02:38
· 1.0 (1)
Tanya ke AiRIS
Yuk, cobain chat dan belajar bareng AiRIS, teman pintarmu!

LATIHAN SOAL GRATIS!
Drill Soal
Latihan soal sesuai topik yang kamu mau untuk persiapan ujian


Perdalam pemahamanmu bersama Master Teacher
di sesi Live Teaching, GRATIS!