Evamardiana E
13 Oktober 2021 15:44
Iklan
Evamardiana E
13 Oktober 2021 15:44
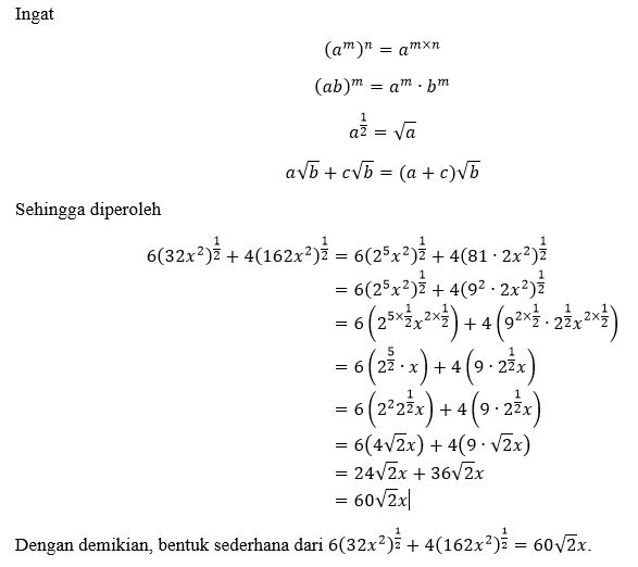
Pertanyaan
30
1
Iklan
S. Solehuzain
Mahasiswa/Alumni Universitas Negeri Semarang
29 Oktober 2021 04:17
· 0.0 (0)
Iklan
Tanya ke AiRIS
Yuk, cobain chat dan belajar bareng AiRIS, teman pintarmu!

LATIHAN SOAL GRATIS!
Drill Soal
Latihan soal sesuai topik yang kamu mau untuk persiapan ujian


Perdalam pemahamanmu bersama Master Teacher
di sesi Live Teaching, GRATIS!