Mahtur L
09 Juni 2025 06:45
Iklan
Mahtur L
09 Juni 2025 06:45
Pertanyaan
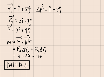
Sebuah partikel telah berpindah sepanjang lintasan pada bidang xy dari titik 1 yang vektor posisinya r1= i + 2j ke titik 2 dengan vektor posisinya r2 = 2i − 3j. Selama waktu itu partikel tersebut mengalami gaya F = 3i + 4j. Jika r1, r2, dan F dalam satuan SI, usaha yang dilakukan oleh gaya F adalah ... J.
7
1
Iklan
Efraim S
09 Juni 2025 14:25
Jawabannya 17,0 ya. Caranya tertera pada gambar.

· 5.0 (2)
Iklan
Tanya ke AiRIS
Yuk, cobain chat dan belajar bareng AiRIS, teman pintarmu!

LATIHAN SOAL GRATIS!
Drill Soal
Latihan soal sesuai topik yang kamu mau untuk persiapan ujian


Perdalam pemahamanmu bersama Master Teacher
di sesi Live Teaching, GRATIS!