Anonim A
01 Oktober 2022 08:29
Iklan
Anonim A
01 Oktober 2022 08:29
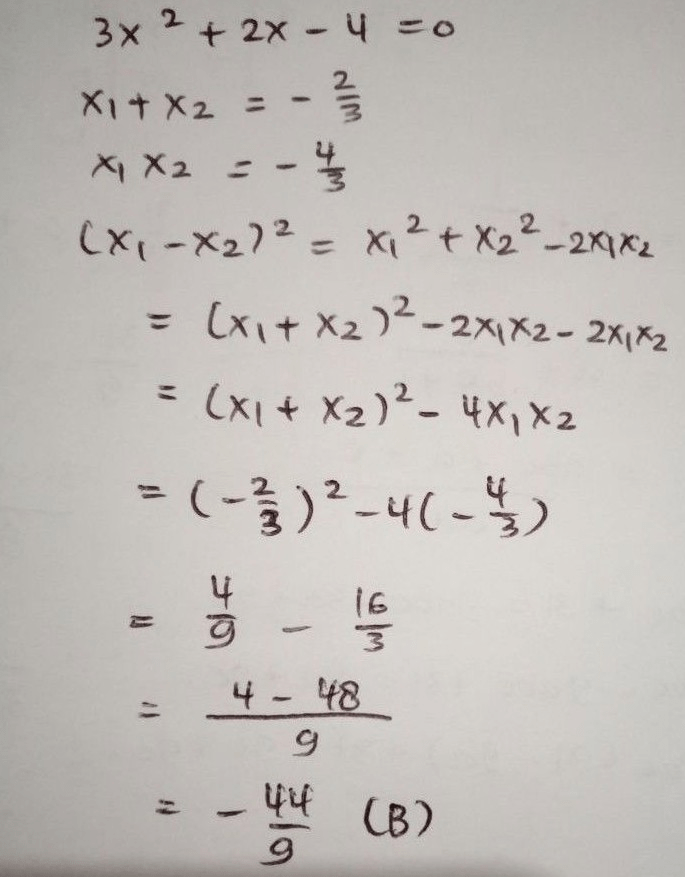
Pertanyaan
1
2
Iklan
Kayla M
01 Oktober 2022 10:43
· 5.0 (1)
Iklan
AL-FAUL F
01 Oktober 2022 08:39

· 2.0 (1)
Tanya ke AiRIS
Yuk, cobain chat dan belajar bareng AiRIS, teman pintarmu!

LATIHAN SOAL GRATIS!
Drill Soal
Latihan soal sesuai topik yang kamu mau untuk persiapan ujian


Perdalam pemahamanmu bersama Master Teacher
di sesi Live Teaching, GRATIS!