Aulia R
01 Februari 2023 00:47
Iklan
Aulia R
01 Februari 2023 00:47
Pertanyaan
1
1
Iklan
S. Agita
30 November 2023 15:00
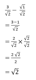
Jawaban yang benar adalah c. √2.
Pembahasan terkait pengoperasiannya terlampir pada gambar di bawah ini.
Jadi, nila dari (3/√2) - (√(1/2)) adalah √2.
· 0.0 (0)
Iklan
Tanya ke AiRIS
Yuk, cobain chat dan belajar bareng AiRIS, teman pintarmu!

LATIHAN SOAL GRATIS!
Drill Soal
Latihan soal sesuai topik yang kamu mau untuk persiapan ujian


Perdalam pemahamanmu bersama Master Teacher
di sesi Live Teaching, GRATIS!