Deanova A
13 September 2023 12:58
Iklan
Deanova A
13 September 2023 12:58
Pertanyaan
1
1
Iklan
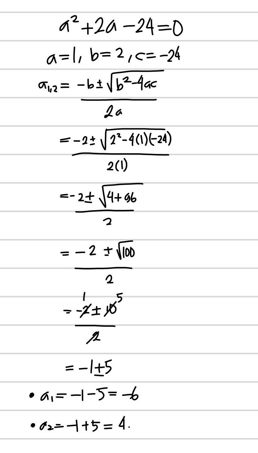
Nanda R

Community
13 September 2023 23:41
jawabannya adalah

· 0.0 (0)
Iklan
Tanya ke AiRIS
Yuk, cobain chat dan belajar bareng AiRIS, teman pintarmu!

LATIHAN SOAL GRATIS!
Drill Soal
Latihan soal sesuai topik yang kamu mau untuk persiapan ujian


Perdalam pemahamanmu bersama Master Teacher
di sesi Live Teaching, GRATIS!