Maganda J
23 Februari 2020 14:36
Iklan
Maganda J
23 Februari 2020 14:36
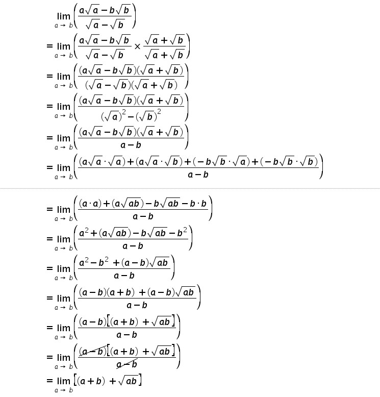
Pertanyaan
5
1
Iklan
G. Albiah
Mahasiswa/Alumni Universitas Galuh Ciamis
15 Februari 2022 20:02



· 5.0 (1)
Iklan
Tanya ke AiRIS
Yuk, cobain chat dan belajar bareng AiRIS, teman pintarmu!

LATIHAN SOAL GRATIS!
Drill Soal
Latihan soal sesuai topik yang kamu mau untuk persiapan ujian


Perdalam pemahamanmu bersama Master Teacher
di sesi Live Teaching, GRATIS!