Pelajar P
25 September 2023 09:22
Iklan
Pelajar P
25 September 2023 09:22
Pertanyaan
1
2
Iklan
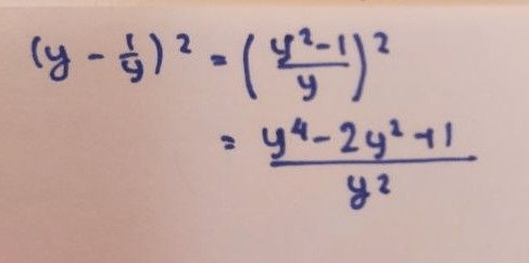
Nanda R

Community
25 September 2023 09:29
jawabannya adalah

· 5.0 (1)
Iklan
Sumber W

Community
25 September 2023 09:54
(y- 1/y)² = (y- 1/y)(y- 1/y)
= y2 - 1 - 1 + 1/y2
= y2 - 2 + 1/y2
· 0.0 (0)
Tanya ke AiRIS
Yuk, cobain chat dan belajar bareng AiRIS, teman pintarmu!

LATIHAN SOAL GRATIS!
Drill Soal
Latihan soal sesuai topik yang kamu mau untuk persiapan ujian


Perdalam pemahamanmu bersama Master Teacher
di sesi Live Teaching, GRATIS!