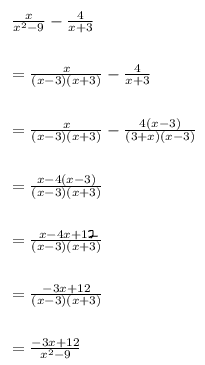
PETTY C
11 Oktober 2023 01:08
Iklan
PETTY C
11 Oktober 2023 01:08
Pertanyaan
1
1
Iklan
A. Jannah
Mahasiswa/Alumni Universitas Negeri Semarang
06 November 2023 22:19

· 0.0 (0)
Iklan
Tanya ke AiRIS
Yuk, cobain chat dan belajar bareng AiRIS, teman pintarmu!

LATIHAN SOAL GRATIS!
Drill Soal
Latihan soal sesuai topik yang kamu mau untuk persiapan ujian


Perdalam pemahamanmu bersama Master Teacher
di sesi Live Teaching, GRATIS!