Lena L
27 Januari 2023 07:49
Iklan
Lena L
27 Januari 2023 07:49
Pertanyaan
3
1
Iklan
J. Siregar
Mahasiswa/Alumni Universitas Negeri Medan
01 Agustus 2023 02:44
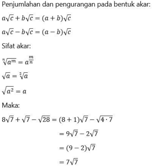
Jawaban yang benar adalah D.
Pembahasan lengkap sesuai gambar terlampir.
Jadi, hasil dari 8√7 + √7 - √28 adalah 7√7.

· 0.0 (0)
Iklan
Tanya ke AiRIS
Yuk, cobain chat dan belajar bareng AiRIS, teman pintarmu!

LATIHAN SOAL GRATIS!
Drill Soal
Latihan soal sesuai topik yang kamu mau untuk persiapan ujian


Perdalam pemahamanmu bersama Master Teacher
di sesi Live Teaching, GRATIS!