Bilaa. B
12 September 2023 12:06
Iklan
Bilaa. B
12 September 2023 12:06
Pertanyaan
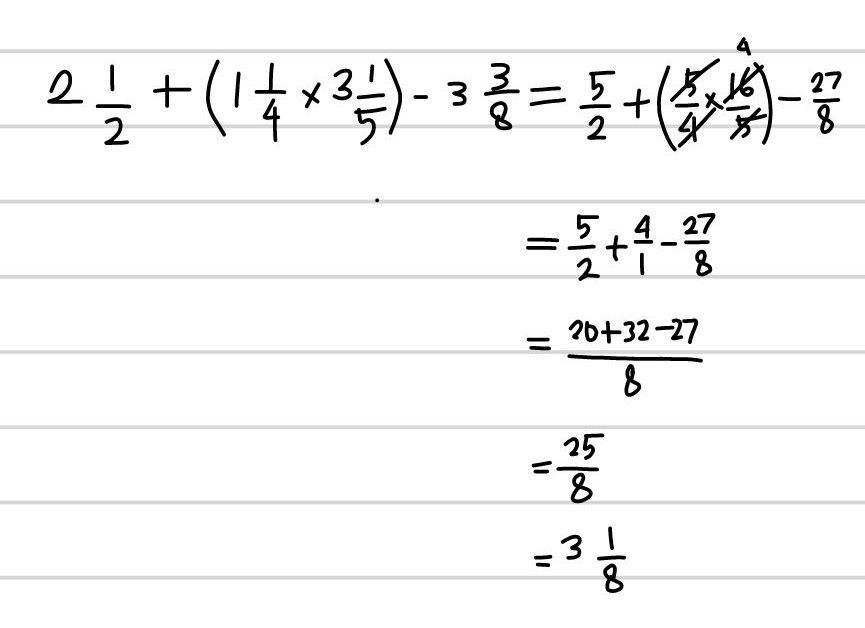
Hasil dari 2 1/2 + (1 1/4 × 3 1/5) - 3 3/8 adalah...
A. 3 1/8
B. 3 3/8
C. 3 5/8
D. 3 7/8
2
2
Iklan
Adhe N

13 September 2023 04:19
Ini yaa..

· 0.0 (0)
Iklan
Nanda R

Community
13 September 2023 23:02
buah mangga, buah markisa
jawabannya adalah A.

· 0.0 (0)
Tanya ke AiRIS
Yuk, cobain chat dan belajar bareng AiRIS, teman pintarmu!
Roboguru Plus
Dapatkan pembahasan soal ga pake lama, langsung dari Tutor!


Perdalam pemahamanmu bersama Master Teacher
di sesi Live Teaching, GRATIS!