Aisha R
05 Juli 2023 05:26
Iklan
Aisha R
05 Juli 2023 05:26
Pertanyaan
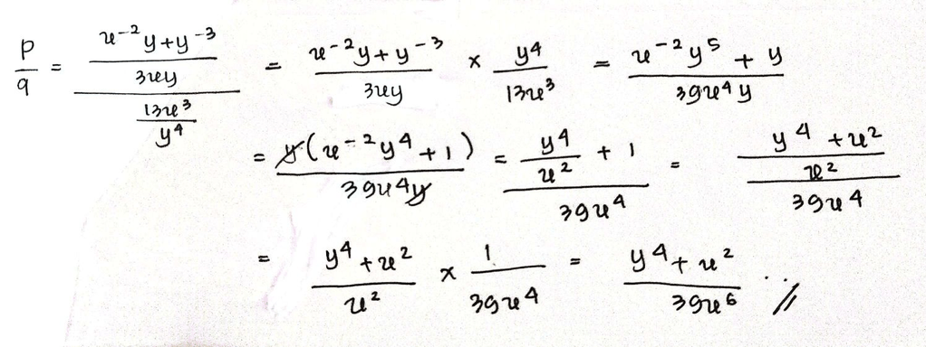
diketahui p=x–²y+y–³/3xy;dan q=13x³/y⁴.nilai dari p÷q adalah
3
1
Iklan
Wafiq R
07 Juli 2023 07:34
Semoga menjawab🙏🏻

· 5.0 (2)
Zahira A
08 Oktober 2023 04:10
maaf mau tanya. y nya di baris ke dua yg pertama itu dapet dari mana ya, sama yang kok tiba tiba di tambah 1
Iklan
Tanya ke AiRIS
Yuk, cobain chat dan belajar bareng AiRIS, teman pintarmu!

LATIHAN SOAL GRATIS!
Drill Soal
Latihan soal sesuai topik yang kamu mau untuk persiapan ujian


Perdalam pemahamanmu bersama Master Teacher
di sesi Live Teaching, GRATIS!