Ade D
30 Januari 2023 06:33
Iklan
Ade D
30 Januari 2023 06:33
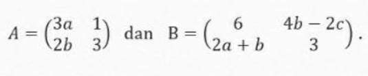
Pertanyaan

1
1
Iklan
A. Fauzan
Mahasiswa/Alumni Universitas Jember
22 September 2023 09:05
· 0.0 (0)
Iklan
Tanya ke AiRIS
Yuk, cobain chat dan belajar bareng AiRIS, teman pintarmu!

LATIHAN SOAL GRATIS!
Drill Soal
Latihan soal sesuai topik yang kamu mau untuk persiapan ujian


Perdalam pemahamanmu bersama Master Teacher
di sesi Live Teaching, GRATIS!