AMELIA W
20 Maret 2020 03:53
Iklan
AMELIA W
20 Maret 2020 03:53
Pertanyaan
3
2
Iklan
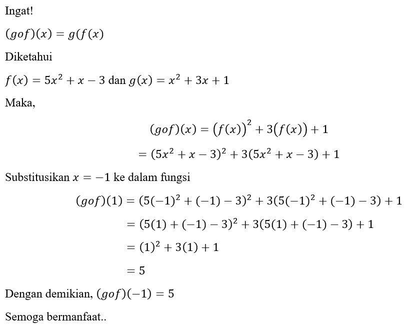
A. Khairunisa
Mahasiswa/Alumni Universitas Negeri Semarang
23 Februari 2022 04:59
· 4.8 (6)
Iklan
Riyanti R
12 Juni 2023 08:50
· 0.0 (0)
Tanya ke AiRIS
Yuk, cobain chat dan belajar bareng AiRIS, teman pintarmu!

LATIHAN SOAL GRATIS!
Drill Soal
Latihan soal sesuai topik yang kamu mau untuk persiapan ujian


Perdalam pemahamanmu bersama Master Teacher
di sesi Live Teaching, GRATIS!