Kaira A
22 Februari 2023 04:04
Iklan
Kaira A
22 Februari 2023 04:04
Pertanyaan
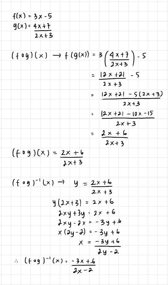
Diketahui: f(x) = 3x - 5 , g(x) = (4x + 7)/(2x + 3)
Tentukan (fog) - 1 (x) !
2
1
Iklan
Shafa M
22 Februari 2023 08:17
Semoga membantu

· 0.0 (0)
Iklan
Tanya ke AiRIS
Yuk, cobain chat dan belajar bareng AiRIS, teman pintarmu!

LATIHAN SOAL GRATIS!
Drill Soal
Latihan soal sesuai topik yang kamu mau untuk persiapan ujian


Perdalam pemahamanmu bersama Master Teacher
di sesi Live Teaching, GRATIS!