Raysa S
06 September 2022 17:27
Iklan
Raysa S
06 September 2022 17:27
Pertanyaan
1
1
Iklan
Donella A
06 September 2022 22:41

· 0.0 (0)
Raysa S
08 September 2022 14:25
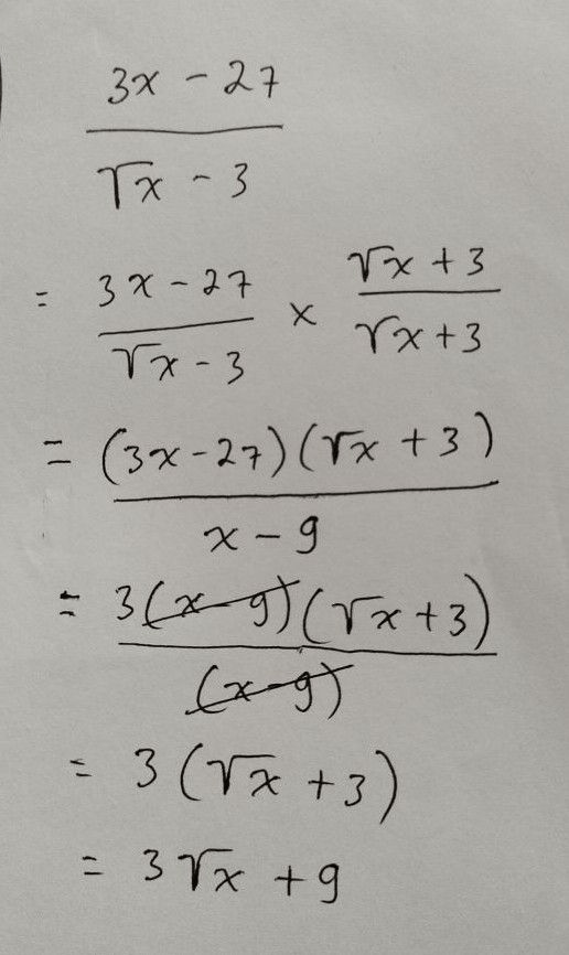
maaf kak, itu kenapa bisa jadi 3(x-9) ya?
Iklan
Tanya ke AiRIS
Yuk, cobain chat dan belajar bareng AiRIS, teman pintarmu!

LATIHAN SOAL GRATIS!
Drill Soal
Latihan soal sesuai topik yang kamu mau untuk persiapan ujian


Perdalam pemahamanmu bersama Master Teacher
di sesi Live Teaching, GRATIS!