Khumaira R
22 September 2022 06:20
Iklan
Khumaira R
22 September 2022 06:20
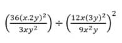
Pertanyaan
1
1
Iklan
A. Meylin
Mahasiswa/Alumni Universitas Airlangga
08 November 2022 10:41
Jawaban yang benar adalah x3/3y2
Silahkan perhatikan penjelasan berikut ya.

· 0.0 (0)
Iklan
Tanya ke AiRIS
Yuk, cobain chat dan belajar bareng AiRIS, teman pintarmu!

LATIHAN SOAL GRATIS!
Drill Soal
Latihan soal sesuai topik yang kamu mau untuk persiapan ujian


Perdalam pemahamanmu bersama Master Teacher
di sesi Live Teaching, GRATIS!