Daneen D
26 Juli 2022 16:46
Iklan
Daneen D
26 Juli 2022 16:46
Pertanyaan
1
1
Iklan
M. Dina
12 November 2022 12:27
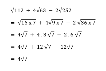
Bentuk sederhana dari √(112)+4√(63)−2√(252) adalah 4√7
Yuk, perhatikan pembahasan berikut ini!
· 0.0 (0)
Iklan
Tanya ke AiRIS
Yuk, cobain chat dan belajar bareng AiRIS, teman pintarmu!

LATIHAN SOAL GRATIS!
Drill Soal
Latihan soal sesuai topik yang kamu mau untuk persiapan ujian


Perdalam pemahamanmu bersama Master Teacher
di sesi Live Teaching, GRATIS!