Laudza'I.K L
17 Desember 2021 22:57
Iklan
Laudza'I.K L
17 Desember 2021 22:57
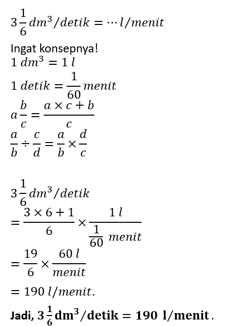
Pertanyaan
1
1
Iklan
Y. Dewafijaya
Mahasiswa/Alumni PKN STAN
20 Desember 2021 15:13

· 5.0 (2)
Iklan
Tanya ke AiRIS
Yuk, cobain chat dan belajar bareng AiRIS, teman pintarmu!
Roboguru Plus
Dapatkan pembahasan soal ga pake lama, langsung dari Tutor!


Perdalam pemahamanmu bersama Master Teacher
di sesi Live Teaching, GRATIS!