Sadilah S
18 Oktober 2021 06:00
Iklan
Sadilah S
18 Oktober 2021 06:00
Pertanyaan
6
2
Iklan
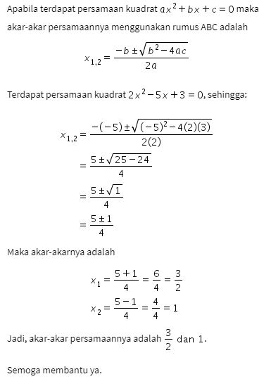
O. Rahmawati
Mahasiswa/Alumni UIN Sunan Gunung Djati Bandung
31 Oktober 2021 04:10
· 4.3 (10)
Iklan
Sadilah S
03 November 2021 12:10
· 0.0 (0)
Tanya ke AiRIS
Yuk, cobain chat dan belajar bareng AiRIS, teman pintarmu!

LATIHAN SOAL GRATIS!
Drill Soal
Latihan soal sesuai topik yang kamu mau untuk persiapan ujian


Perdalam pemahamanmu bersama Master Teacher
di sesi Live Teaching, GRATIS!