Nauria F
18 Februari 2023 13:41
Iklan
Nauria F
18 Februari 2023 13:41
Pertanyaan
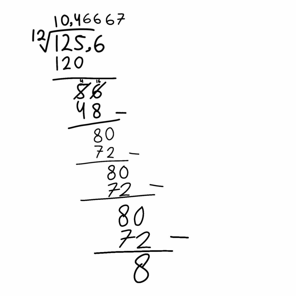
125,6 ÷ 12
bantu cara penyelesaian dengan porogapit ya
2
1
Iklan
Kei F
18 Februari 2023 15:58
Hasilnya 10,6667 karena angka terakhir di bulatkan

· 5.0 (2)
Iklan
Tanya ke AiRIS
Yuk, cobain chat dan belajar bareng AiRIS, teman pintarmu!

LATIHAN SOAL GRATIS!
Drill Soal
Latihan soal sesuai topik yang kamu mau untuk persiapan ujian


Perdalam pemahamanmu bersama Master Teacher
di sesi Live Teaching, GRATIS!