Nur K
12 Oktober 2023 10:30
Iklan
Nur K
12 Oktober 2023 10:30
Pertanyaan
1
3
Iklan
Ivana I
14 Oktober 2023 12:28
Hai Nur!
Aku bantu jawab ya...
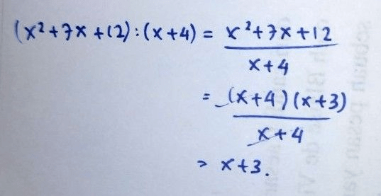
Kamu bisa lihat jawabannya di foto ya Nur!
Terimakasih...
Semoga membantu 🤗

· 5.0 (1)
Ivana I
14 Oktober 2023 12:29
Kalau salah maaf banget ya Nur 😊🙏🏻
Iklan
H. Endah
Mahasiswa/Alumni Universitas Negeri Yogyakarta
12 Oktober 2023 12:10
Jawaban: x + 3
Konsep:
Memfaktorkan persamaan kuadrat:
x² + bx + c = 0
(x + x1)(x + x2) = 0
dengan:
x1 + x2 = b
x1 · x2 = c
Pembahasan:
(x² + 7x + 12)
Maka b = 7 dan c = 12
Sehingga:
x1 + x2 = 7
x1 · x2 = 12
Ambil x1 = 4 dan x2 = 3
4 + 3 = 7 (Terbukti)
4 · 3 = 12 (Terbukti)
Sehingga:
x² + 7x + 12 = (x + 4)(x + 3)
Maka didapatkan:
(x² + 7x + 12) : (x + 4)
= ((x + 4)(x + 3)) : (x + 4)
= x + 3
Jadi, hasilnya adalah x + 3.
· 1.0 (1)
Nur K
12 Oktober 2023 12:39
Terimakasih kak 🙏
Nanda R

Community
13 Oktober 2023 22:36
jawabannya adalah x+3.

· 1.0 (1)
Tanya ke AiRIS
Yuk, cobain chat dan belajar bareng AiRIS, teman pintarmu!

LATIHAN SOAL GRATIS!
Drill Soal
Latihan soal sesuai topik yang kamu mau untuk persiapan ujian


Perdalam pemahamanmu bersama Master Teacher
di sesi Live Teaching, GRATIS!