Nama S
20 November 2022 14:28
Iklan
Nama S
20 November 2022 14:28
Pertanyaan
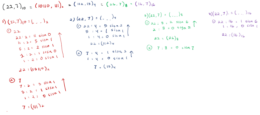
(22,7)10 = (........)2 = (........)4 = (........)8 = (........)16
14
1
Iklan
K. Kak.Vera
08 Mei 2023 09:22
(22, 7)10 = (10110, 111)2 = (112, 13)4 = (26, 7)8 = (16, 7)16
Untuk cara pengerjaannya bisa dilihat lampiran gambar di bawah

· 0.0 (0)
Iklan
Tanya ke AiRIS
Yuk, cobain chat dan belajar bareng AiRIS, teman pintarmu!

LATIHAN SOAL GRATIS!
Drill Soal
Latihan soal sesuai topik yang kamu mau untuk persiapan ujian


Perdalam pemahamanmu bersama Master Teacher
di sesi Live Teaching, GRATIS!