Lena L
28 Januari 2023 07:05
Iklan
Lena L
28 Januari 2023 07:05
Pertanyaan
4
1
Iklan
E. Nur
Mahasiswa/Alumni Institut Teknologi Sepuluh Nopember
08 Agustus 2023 07:43
Jawaban : limit fungsi tersebut tidak ada (eksis) jika banyak penawaran produk mendekati tak berhingga
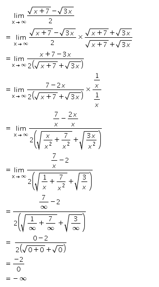
Diketahui
Fungsi permintaan adalah f(x) dengan
f(x) = [(√(x + 7) − √(3x))/2]
dan x adalah banyaknya penawaran
Untuk menentukan nilai fungsi permintaan jika penawaran mendekati tak berhingga sama dengan menentukan limit f(x) menuju tak berhingga seperti gambar terlampir.
Dengan demikian diperoleh kesimpulan bahwa nilai fungsi tidak eksis.
· 0.0 (0)
Iklan
Tanya ke AiRIS
Yuk, cobain chat dan belajar bareng AiRIS, teman pintarmu!

LATIHAN SOAL GRATIS!
Drill Soal
Latihan soal sesuai topik yang kamu mau untuk persiapan ujian


Perdalam pemahamanmu bersama Master Teacher
di sesi Live Teaching, GRATIS!